Le ScAlN, un nouveau matériau pour les composants électroniques haute performance à base de GaN
Les recherches récentes menées par l’IEMN et ses partenaires soulignent l’émergence du nitrure de scandium et d’aluminium (ScAlN) comme un système de matériaux révolutionnaire pour les dispositifs électroniques à base de nitrure III de nouvelle génération, en particulier les transistors à haute mobilité électronique (HEMT).
Si le ScAlN a déjà trouvé des applications industrielles dans les filtres à ondes acoustiques, sa large bande interdite, sa forte polarisation et son potentiel ferroélectrique favorisent désormais son utilisation dans les hétérostructures à base de GaN haute fréquence et haute puissance. L’innovation réside dans l’exploitation de ces avantages intrinsèques du matériau, combinés aux progrès de la croissance épitaxiale, afin de dépasser les limites de performance des technologies HEMT établies à base d’AlGaN et d’InAlN.
La principale motivation pour intégrer le ScAlN dans les hétérostructures GaN est sa capacité à induire des densités de gaz d’électrons bidimensionnel (2DEG) exceptionnellement élevées. Lorsqu’il est épitaxié adapté en maille avec le GaN à forte teneur en aluminium, le ScAlN permet d’atteindre des concentrations de porteurs jusqu’à deux fois supérieures à celles obtenues avec l’InAlN. Cette amplitude de densité de charge induite par la polarisation est essentielle pour la miniaturisation des dispositifs, l’atténuation des effets de canal court et le fonctionnement des transistors dans le domaine des ondes millimétriques.
Une innovation technologique clé est l’utilisation de l’épitaxie par jet moléculaire (MBE) à source d’ammoniac pour faire croître des hétérostructures ScAlN/GaN avec une qualité cristalline élevée, un contrôle stœchiométrique précis et de faibles niveaux de contamination. Notre partenaire CRHEA a démontré que l’incorporation de Sc reste stable sur une large plage de températures de 180 °C et que les couches obtenues présentent une faible contrainte et une haute intégrité cristalline. Ces résultats soulignent l’importance stratégique de l’épitaxie par jet moléculaire à l’ammoniac comme alternative à l’épitaxie par jet moléculaire assistée par plasma et à la MOCVD, cette dernière étant limitée par l’absence de précurseurs de scandium appropriés.
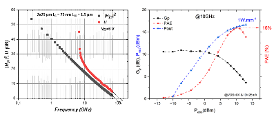
S’appuyant sur cette capacité de croissance, l’équipe de l’IEMN annonce la fabrication des premiers HEMT ScAlN/GaN haute fréquence produits par MBE à l’ammoniac. Les premiers dispositifs présentent des densités 2DEG de 3 à 4 × 10¹³ cm⁻² en utilisant des barrières ScAlN d’environ 10 nm, avec des mobilités électroniques comprises entre 500 et 1000 cm² V⁻¹ s⁻¹. L’introduction de couches de recouvrement ultrafines en AlN ou GaN représente une autre innovation significative, atténuant la susceptibilité inhérente à l’oxydation du ScAlN sans compromettre le transport des électrons. Ces hétérostructures recouvertes permettent un traitement stable, conduisant à des HEMT à grille courte (75 nm) sur silicium avec une fréquence d’oscillation maximale supérieure à 100 GHz, une densité de courant de drain de 1,35 A mm⁻¹ et une transconductance de 284 mS mm⁻¹ — des mesures de performance qui positionnent les HEMT ScAlN/GaN comme de solides candidats pour les applications en bande Ka. Les performances de puissance sont évaluées pour la première fois à 10 GHz sur ce système de matériaux : une puissance saturée de 1 W.mm⁻¹ est obtenue, et une amélioration supplémentaire est prévue puisque les verrous matériels/technologiques ont été identifiés.
À l’avenir, le programme de recherche prévoit une intégration plus large du ScAlN dans les dispositifs de commutation de puissance. D’autres innovations sont attendues grâce à la cointégration des fonctionnalités piézoélectriques, ferroélectriques et électroniques rendues possibles par le ScAlN et les alliages quaternaires ScAlGaN. Dans l’ensemble, ces travaux délimitent une frontière en pleine expansion dans la recherche sur les matériaux à base de nitrures III, grâce aux propriétés électroniques, structurelles et multifonctionnelles uniques du ScAlN et au développement de technologies dédiées à son intégration dans les futures puces RF.
[1] El Whibi, S., « ScAlN/GaN-on-Si (111) HEMTs for RF applications », Applied Physics Express, vol. 18, n° 4, art. n° 046501, IOP, 2025.







